Welcome to the Exquisite World of My CAnD3 Experience!
Slide Show of Memories of special CAnD3 events…
This collection offers a visual journey through my experiences and activities as a fellow of the Consortium on Analytics for Data-Driven Decision-Making (CAnD3). The CAnD3 program, a collaborative initiative, focuses on developing and delivering an innovative training program known as “Population Analytics in an Aging Society.” Explore the gallery and gain insights into the work and milestones achieved during my fellowship.
Slide Show of Gallery of my CAnD3 Artifacts…
Policy brief presentation.
Policy brief presentation.
Policy brief presentation.
Policy brief presentation.
Policy brief presentation.
Policy brief presentation.
Policy brief presentation.
Infographics task 1
Infograph task 2
DAG task
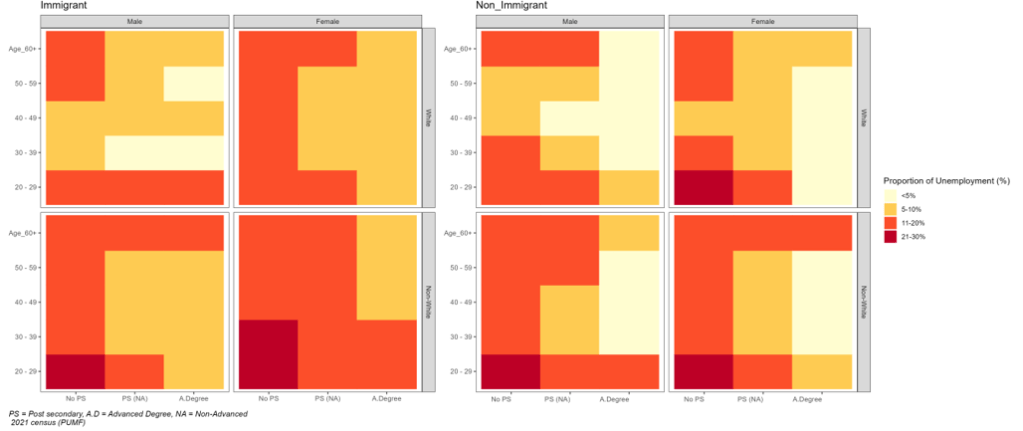
Heatmap showing unemployment distribution across age group, gender, immigration status and race. 2021 Canadian Census Data.Logistic regression showing race, language, education, and gender as predictors of unemployment across immigration status. 2021 Canadian Census Data.Logistic regression showing race, language, education, and gender as predictors of low-income earning across immigration status. 2021 Canadian Census Data.